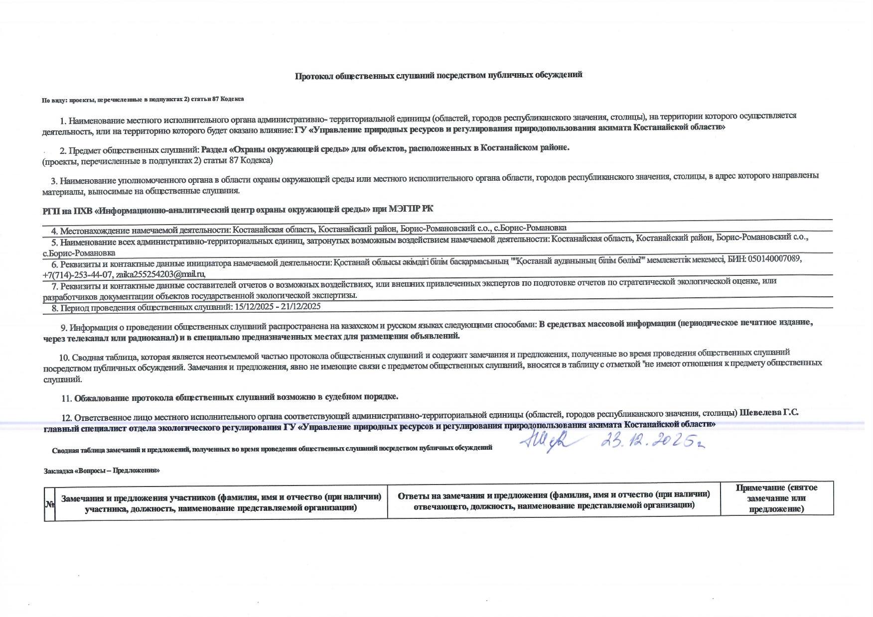
Форма протокола общественных слушаний посредством публичных обсуждений
№ регистрации: 251212001024
По проекту: Раздел «Охраны окружающей среды» для объектов, расположенных в Костанайском районе.
Основание общественных слушаний: проекты, перечисленные в подпунктах 2) статьи 87 Кодекса
1. Инициатор: Қостанай облысы әкімдігі білім басқармасының ""Қостанай ауданының білім бөлімі"" мемлекеттік мекемесі
1.1. БИН\ИИН: 050140007089
1.2. Представитель:
1.3. Контакты:zaika255254203@mail.ru; ;
2. Период проведения общественных слушаний: 15/12/2025 - 19/12/2025
3. Наименование уполномоченного органа в области охраны окружающей среды или
местного исполнительного органа области, городов республиканского значения,
столицы, в адрес которого направлены материалы, выносимые на общественные слушания:
РГП на ПХВ «Информационно-аналитический центр охраны окружающей среды» при МЭГПР РК
4. Сведения о воздействии:
4.1. Территория воздействия:
| 1 | Костанайская область, Костанайский район, Борис-Романовский с.о. |
4.2. Дополнительная информация о административно-территориальных единиц:
Электронная версия проекта
| Наименование файла | Размер |
|---|---|
|
проект1.pdf |
0.2 МБ |
|
раздел ООС павлова.pdf |
1.05 МБ |
Документы подтверждающие размещение объявления в СМИ
| Наименование файла | Размер |
|---|---|
|
TapScanner 05-12-2025.pdf |
0.13 МБ |
Фото объявлений, размещенных на досках
| Наименование файла | Размер |
|---|---|
|
IMG_20251212_085401.jpg |
2.43 МБ |
|
IMG_20251212_085402.jpg |
2.59 МБ |
Протокол слушания
| Наименование файла | Дата создания | Размер | |
|---|---|---|---|
|
Борис Романовка.jpg |
24/12/2025 | 0.28 МБ |